Egy korábbi példában, banki adatokon keresztül szemléltettük, hogyan használhatók a Markov-láncok a felhasználók jövőbeli viselkedésének adat alapú előrejelzésére. Ebben a cikkben tovább mélyedünk a témában, követve Kolmogorov és Chapman úttörő munkásságát a 20. század elejéről.
Mielőtt belemennénk a részletekbe, jöjjön egy kis ismétlés.
A Markov-lánc egy matematikai modell, amely segít modellezni a véletlenszerű folyamatokat. A Markov-láncokban az adott állapot jövőbeli alakulása kizárólag a jelenlegi állapottól függ, függetlenül attól, hogy mi történt korábban. Ez a modell lehetővé teszi, hogy előrejelezzük az események valószínűségét az egyes állapotok közötti átmenetek során.
A Markov-láncok napjainkban is kulcsszerepet játszanak a pénzügyekben, a marketingben, az informatikában és számtalan más területen. Legyen szó ügyfélút-elemzésről, keresőalgoritmusokról vagy akár mesterséges intelligenciáról, Markov gondolatai ma is élnek és formálják a világot.

Véletlenek láncolata: A Markov-lánc alapjai
A Markov-lánc tehát egy olyan matematikai modell, amely segít modellezni az ügyfelek viselkedését az egyes állapotok közötti átmenetek során. A korábbi példa szerint az alábbi eseteket és ezek közötti átmeneteket tudtuk meghatározni:
- Tudatosság (A): Az ügyfél ismeri a márkát és termékeit.
- Megfontolás (B): Az ügyfél fontolóra veszi a termék vagy szolgáltatás vásárlását.
- Konverzió (C): Az ügyfél igénybe veszi a bank termékeit vagy szolgáltatásait.
- Nincs Konverzió (D): Az ügyfél nem veszi igénybe a bank termékeit vagy szolgáltatásait
Semmi sem állandó, csak a változás maga
Már az ókori Hérakleitosz is felismerte, hogy a megfigyelt természetben és a tudományokban egyaránt folyamatos a változás. Ezt egy egyszerű példával fogalmazta meg: „nem léphetsz kétszer ugyanabba a folyóba”, mivel a víz folyamatos áramlása miatt soha nem lesz ugyanolyan, mint korábban.
Ez a gondolat az állandó változás és a folyamatos átalakulás fogalmát hangsúlyozza, ami felkeltette Kolmogorov és Chapman érdeklődését is a Markov-láncok vizsgálata közben.
Andrey Kolmogorov és Sydney Chapman két kiemelkedő matematikus volt, akik függetlenül egymástól járultak hozzá a Markov-láncelméletek fejlődéséhez. Andrey Kolmogorov (1903–1987) orosz matematikus volt, aki a valószínűségelmélet és a sztochasztikus folyamatok terén ért el jelentős eredményeket. 1931-ben kidolgozta a Kolmogorov-egyenleteket, amelyek a folyamatos idejű Markov-folyamatokat írják le. Sydney Chapman (1888–1970) brit matematikus és fizikus, aki főként az asztrofizikában és a légkörkutatásban alkotott maradandót. A Markov-folyamatok terén a Chapman–Kolmogorov egyenlet kidolgozásában játszott szerepet.
Kettejük munkája a Chapman–Kolmogorov egyenlet, ami a mai napig egy fontos matematikai eszköz, amely lehetővé teszi a Markov-folyamatokban az átmenet valószínűségek kiszámítását több lépésben. Ez az egyenlet kulcsfontosságú a sztochasztikus folyamatok modellezésében és a jövőbeli állapotok előrejelzésében.
Az állapotváltozások időbeli dinamikája
Kolmogorov és Chapman munkássága révén a Markov-láncok nemcsak diszkrét állapotátmeneteket írtak le – hiszen Markov nem számolt az idő dinamikájával-, hanem lehetővé tették, hogy a változásokat folytonos időben is modellezzük. Ez különösen fontos a modern marketingben, ahol a vásárlói döntések nem feltétlenül azonnaliak, hanem fokozatosan alakulnak ki.
Gyakorlati példa
Egy e-kereskedelmi kampány során a fogyasztók több nap vagy hét alatt jutnak el a vásárlási döntésig. A Kolmogorov-Chapman megközelítéssel modellezhetjük, hogy egy fogyasztó milyen valószínűséggel tér vissza a weboldalra egy hirdetés megtekintése után, és hány lépésen keresztül jut el a vásárlásig.
Állapotok:
- S0: Hirdetés megtekintése
- S1: Weboldal látogatása
- S2: Termékoldal megtekintése
- S3: Kosárba helyezés
- S4: Vásárlás
- Végállapot Vásárlás megtörtént
A Markov-lánc lényege, hogy a következő állapot csak a jelenlegi állapottól függ, nem a múltbeli lépésektől.
Átmeneti valószínűségek
A láncot egy átmeneti valószínűségi mátrix segítségével modellezzük:

Itt az egyes elemek azt mutatják meg, hogy az egyik állapotból milyen valószínűséggel lépünk a másikba.
Például: P(S0→S1)=0,3 azt jelenti, hogy egy felhasználó a hirdetés megtekintése után 30% eséllyel látogatja meg a weboldalt.
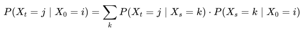
Chapman–Kolmogorov-egyenlet
Átmeneti valószínűségek
Itt az egyes elemek azt mutatják meg, hogy az egyik állapotból milyen valószínűséggel lépünk a másikba.
Például: P(S0→S1)=0,3 azt jelenti, hogy egy felhasználó a hirdetés megtekintése után 30% eséllyel látogatja meg a weboldalt.
Chapman–Kolmogorov-egyenlet

A Chapman–Kolmogorov-egyenlet segít kiszámolni a többlépéses valószínűségeket. Ez azt jelenti, hogy a jövőbeli állapot valószínűségét a közbülső állapotok valószínűségeinek szorzataként kapjuk meg. Azaz:
Három lépés után annak a valószínűsége, hogy a fogyasztó vásárlásig jut: 14,6%.Ez azt jelenti, hogy ha valaki meglát egy hirdetést, három interakciós pont (például weboldal-látogatás, termékoldal megtekintése, kosárba helyezés) után körülbelül minden hetedik ember vásárolni fog.
Többlépéses folyamatok megértése
A Chapman–Kolmogorov-egyenlet révén azt is megérthetjük, hogyan változnak a valószínűségek az egyes lépések alatt. Ez azt jelenti, hogy nemcsak azt tudjuk megállapítani, hogy mi történik a következő lépésben, hanem hosszabb periódusok alatt is előrejelezhetjük a fogyasztói viselkedést.
Példa: Egy banki terméket reklámozó, eDM kampány esetén modellezhető, hogy egy felhasználó először megnyitja az e-mailt, majd egy hét múlva ellátogat a weboldalra, később letölti a mobilalkalmazást, és végül számlát nyit.

Hogyan használhatók ezek a modellek a marketingstratégiák létrehozásában?
1) Vásárlói hűség és márkaváltás
A Markov-láncok segítségével elemezhetjük, hogy a fogyasztók milyen valószínűséggel maradnak hűségesek egy márkához vagy akár azt is, hogy valószínűleg mikor váltanak konkurens termékre.
Példa: Egy élelmiszerlánc elemezheti, hogy egy hűségprogramba belépett vásárló milyen eséllyel tér vissza hetente és milyen hatása van egy „akciós” kampánynak a visszatérési arányra.
2) Remarketing optimalizálása
A Kolmogorov-láncok segítenek abban is, hogy megértsük, hány interakcióra van szükség a konverzióhoz. Ez alapján például a remarketing stratégiák célzottabbak lehetnek.
Példa: Egy autómárka hirdetései alapján modellezhetjük, hogy egy érdeklődő milyen valószínűséggel fog eljutni a tesztvezetésig, ha előtte háromszor látja a hirdetést, és hogyan változik ez a valószínűség, ha további remarketing hirdetésekkel célozzuk meg.
Kolmogorov és Chapman öröksége – Miért releváns ma is?
A Kolmogorov és Chapman által kidolgozott elméletek ma is kulcsfontosságúak a big data alapú marketingelemzésekben, a gépi tanulási algoritmusokban és a prediktív modellezésben. Ha pontosan értjük a fogyasztók döntési útvonalát, akkor nemcsak hatékonyabb kampányokat hozhatunk létre, hanem hosszú távon is növelhetjük az ügyfélértéket.
Lépj velünk kapcsolatba, és segítünk sikerre vinni céljaidat!






